✨Sách - Bài Tập Tuần dành cho học sinh lớp 4 - Toán và Tiếng Việt - học kì 2 (2 quyển)
Mua tại Shopee
Mua tại Tiki
Mua tại Lazada
Mua tại TiktokTHÔNG TIN CHI TIẾT
- Công ty phát hành: QBooks
-Tác giả: Nhiều Tác Giả
-
Năm xuất bản: 2021
-
Khổ sách: 19 x 26,5 cm
-
Loại: Bìa mềm
-
Số trang: 60
-
Nhà xuất bản: NXB Thanh Niên
GIỚI THIỆU SÁCH
Bài Tập Tuần dành cho học sinh lớp 4 - Toán và Tiếng Việt - học kì 2 (2 quyển)
-
Sách đẹp, chính hãng, rõ nét
-
Các kiến thức theo từng tuần học đầy đủ, chi tiết
-
Giúp các bé tự tin đạt điểm cao
-
Đáp án kiểm tra bằng mã QR tránh trường hợp bé biết đáp án trước khi làm
-
Hỗ trợ tư vấn nhiệt tình, 24/7
Mua tại Shopee
Mua tại Tiki
Mua tại Lazada
Mua tại TiktokVới nội dung thú vị và những hình ảnh minh họa sinh động, ngộ nghĩnh viết dưới dạng Song ngữ Học Toán Song Ngữ Theo Chủ Đề Lớp 1 + 2 + 3 + 4
Sách - Academy Stars Pupil’s Book + Workbook 2 - Sách học tiếng Anh cho trẻ chuẩn Cambridge Academy Stars là bộ giáo trình tiếng Anh dành cho học sinh từ 5-13 tuổi, do Nhà xuất
Nhằm giúp học sinh tiểu học có thể tự rèn luyện và nâng cao kiến thức môn Toán, chúng tôi đã biên soạn bộ sách “Toán nâng cao và bồi dưỡng học sinh giỏi –
Sách: Toán Tài Năng 3 - Toán lớp 3 ( Bộ 2 cuốn, 8 - 9 Tuổi ) ĐIỀU GÌ KHIẾN CON TRẺ SỢ TOÁN? Thiếu kiến thức nền tảng. Không quen với các
Là sách song ngữ ( Việt – Anh) giúp trẻ vừa học toán vừa ôn luyện Tiếng Anh, giúp trẻ ghi nhớ từ vựng, học Tiếng anh một cách tự nhiên chủ động. NHỮNG
Nội dung : Chương đầu tiền của lớp 11 mỗi bài trong chương đều có đầy đủ lý thuyết, công thức, bài tự luyện, ví dụ minh họa Bám sát nội dung sgk Sách in
Mô tả sản *MÔ TẢ SẢN PHẨM _Sản phẩm được đóng hộp gọn gàng, tiện lợi. Bộ lắp ghép mô hình kĩ thuật lớp 5 có thế lắp ghép nhiều mô hình đồ chơi thú
Combo Hướng Dẫn Giải Violympic Toán+ Tiếng Việt+ Tiếng Anh Lớp 5 (Dùng Chung Cho Các Bộ SGK Hiện Hành) (HA-MK) Công ty phát hành Nhà Sách Hồng Ân Năm Xuất Bản 2024 Tác Giả
sản phẩm , là bộ dùng cho học sinh lớp 1 sử dụng theo chương trình mới, phát hành và sử dụng trên toàn quốc cho học sinh lớp 1.chúng tôi cam kết bán tốt.
Chất liệu Nhựa, Giấy Số Lượng:Bộ gồm 2 hộp Trọng lượng (gr) 988 Kích Thước Bao Bì 26 x 19 x 8 cm Sản phẩm gồm nhiều bộ số học, bộ hình
Combo Bộ Đề Kiểm Tra Môn Toán + Tiếng Việt Lớp 4 (Dùng Kèm SGK Kết Nối Tri Thức Với Cuộc Sống) (Bộ 4 Cuốn) 1. Bộ Đề Kiểm Tra Môn Toán Lớp 4 Tập
Bộ sách Hướng dẫn học toán lớp 1 - quyển 1 , 2 , 3 , 4 được biên soạn bởi trường Archimedes school nhằm cung cấp cho các em học sinh lớp 1 cùng
Mỗi phiếu trong cuốn sách sẽ tương ứng với nội dung một tuần học trên lớp của các em. Các em sẽ được tiếp thu các kiến thức về từ, tìm hiểu nghĩa của từ
Mỗi phiếu trong cuốn sách sẽ tương ứng với nội dung một tuần học trên lớp của các em. Các em sẽ được tiếp thu các kiến thức về từ, tìm hiểu nghĩa của từ
Combo Phiếu Bài Tập Cuối Tuần Toán + Tiếng Việt + Tiếng Anh Lớp 1 (35 Tuần Học) (Bộ 3 Cuốn) 1. Phiếu Bài Tập Cuối Tuần Toán 1 (35 Tuần Học) 2. Phiếu Bài
Mô tả sản phẩm Bộ thiết bị thực hành Toán và Tiếng Việt lớp 1 có các đặc điểm chung như sau: Các chi tiết được làm bằng chất liệu mút xốp,
Mô tả sản phẩm Bộ thiết bị thực hành Toán và Tiếng Việt lớp 1 có các đặc điểm chung như sau: Các chi tiết được làm bằng chất liệu mút xốp,
SÁCH - Combo Sách Bồi Dưỡng Học Sinh Giỏi Toán Lớp 3 (Bộ 4 Cuốn) 1. Bồi Dưỡng Toán Lớp 3 (Dùng Chung Cho Các Bộ SGK Hiện Hành) Các em học sinh
SÁCH - Combo Sách Bồi Dưỡng Học Sinh Giỏi Toán Lớp 3 (Bộ 4 Cuốn) 1. Bồi Dưỡng Toán Lớp 3 (Dùng Chung Cho Các Bộ SGK Hiện Hành) Các em học sinh
250 Bài Toán Chọn Lọc Lớp 5 – Cùng con chinh phục môn Toán Cuốn sách 250+ Bài Toán Chọn Lọc Lớp 5 là tài liệu bổ trợ hoàn hảo dành cho các em học sinh lớp
Combo 4 cuốn bổ trợ kiến thức Văn lớp 4 (chương trình mới) Củng cố các kiến thức cơ bản có trong chương trình sách giáo khoa Rèn luyện kĩ năng trình bày bài giải
Bộ sách Hướng dẫn học toán lớp 2 - quyển 1 , 2 , 3 , 4 được biên soạn bởi trường Archimedes school nhằm cung cấp cho các em học sinh lớp 1 cùng
Bộ sách Hướng dẫn học toán lớp 4 - quyển 1 , 2 , 3 , 4 được biên soạn bởi trường Archimedes school nhằm cung cấp cho các em học sinh lớp 1 cùng
Bộ sách Hướng dẫn học toán lớp 5 - quyển 1 , 2 , 3 , 4 được biên soạn bởi trường Archimedes school nhằm cung cấp cho các em học sinh lớp 1 cùng
Bộ sách Hướng dẫn học toán lớp 3 - quyển 1 , 2 , 3 , 4 được biên soạn bởi trường Archimedes school nhằm cung cấp cho các em học sinh lớp 1 cùng
ISBN: 978-604-2-25393-2 Tác giả: Trình Quang Phú Đối tượng: Thiếu niên (11 – 15) Tuổi mới lớn (15 – 18) Tuổi trưởng thành (trên 18 tuổi) Khuôn Khổ: 25x33 cm
Combo Sách Bồi Dưỡng Và Nâng Cao Toán 3 (Bám Sát SGK Kết Nối) (Bộ 3 Cuốn) Vở Bài Tập Nâng Cao Toán Lớp 3 - Tập 1 (Bám Sát SGK Kết
Mô tả sản phẩm Bộ thiết bị thực hành Toán và Tiếng Việt lớp 1 có các đặc điểm chung như sau: Các chi tiết được làm bằng chất liệu mút xốp, bên ngoài
Combo Bài Tập Bổ Trợ Toàn Diện Tiếng Anh + Luyện Viết Và Học Từ Vựng Tiếng Anh Lớp 3 - Notebook (Bộ 2 Cuốn) 1. Bài Tập Bổ Trợ Toàn Diện Tiếng Anh
Combo Đề Kiểm Tra Toán - Tiếng Việt - Tiếng Anh Lớp 2 (Bộ 4 Cuốn) 1. Bộ Đề Kiểm Tra Môn Tiếng Việt Lớp 2 (Bám Sát SGK Kết Nối Tri Thức Với Cuộc Sống) Bộ
THÔNG TIN CHI TIẾT - Công ty phát hành: QBooks -Tác giả: Nhiều Tác Giả - Năm xuất bản: 2020 - Khổ sách: 19 x 26,5 cm - Loại: Bìa mềm - Số trang: 60
Combo Bài Tập Tuần Toán, Tiếng Việt Lớp 2 - Cánh Diều Lưu ý: Chọn đúng loại sách cần mua ở tuỳ chọn "Chọn Sách" Combo đầy đủ gồm có 4 cuốn (2 môn Toán và
Combo Bài Tập Tuần Toán, Tiếng Việt Lớp 1 - Cánh Diều (Lưu ý: Chọn đúng loại sách cần mua ở tuỳ chọn "Chọn Sách") Giải pháp hoàn hảo cho con tự học ở nhà với
Combo Bài Tập Tuần và Đề Kiểm Tra Toán, Tiếng Việt Lớp 3 (Tùy chọn theo Chương trình SGK mới) Lưu ý: Chọn đúng chương trình học vả kỳ học ở các 2 mục tùy
Combo Bài Tập Tuần Toán, Tiếng Việt Lớp 2 - Kết Nối Tri Thức (Lưu ý: Chọn đúng loại sách cần mua ở tuỳ chọn "Chọn Sách") Giải pháp hoàn hảo cho con tự học
Đề Kiểm Tra Toán, Tiếng Việt Lớp 2 - Kết Nối Tri Thức Giải pháp hoàn hảo cho con tự học ở nhà với lộ trình học, ôn bài, luyện tập và kiểm tra tại
Đề Kiểm Tra Toán, Tiếng Việt Lớp 1 - Kết Nối Tri Thức Giải pháp hoàn hảo cho con tự học ở nhà với lộ trình học, ôn bài, luyện tập và kiểm tra tại
Đề Kiểm Tra Toán, Tiếng Việt Lớp 1 - Cánh Diều Giải pháp hoàn hảo cho con tự học ở nhà với lộ trình học, ôn bài, luyện tập và kiểm tra tại nhà rất
Bài Giảng Và Hướng Dẫn học Toán Lớp 2 - Tập 1 Cuốn sách Bài Giảng Và Hướng Dẫn Chi Tiết Toán Lớp 2 - Tập 1 - Mô Hình Trường Học Mới gồm các
Sách - Bộ Lịch - Tổng Hợp Kiến Thức Tiếng Anh, Công Thức Giải Nhanh Toán và Làm Văn Tiểu Học (Phiên Bản 5.0) THÔNG TIN SẢN PHẨM: - Tác giả: Thùy Trang -
======GIỚI THIỆU SÁCH======= Tiếng Anh ngày càng quan trọng trong xã hội hiện nay. Môn học này được coi là một trong những môn học quan trọng trong nhà trường. Việc học và hoàn
“BÀI TẬP TIẾNG ANH LỚP 4” với các dạng bài tập phong phú, đa dạng, bám sát ngữ pháp và từ vựng theo chủ đề từng đơn vị bài tậ *Mỗi đơn vị bài tập gồm
Sách - 50 Đề Tăng Điểm Nhanh Tiếng Anh – Lớp 5 Trong môn Tiếng Anh ở Chương trình giáo dục Tiểu học, các em học sinh đang được làm quen và hiểu kiến thức
Combo Thử Sức Trạng Nguyên Nhỏ Tuổi Toán 5 bao gồm 2 tập Trạng Nguyên Nhỏ Tuổi là cuộc thi thường niên do báo Nhi Đồng tổ chức. Đây là một cuộc thi phổ biến
Combo Phiếu Bài Tập Cuối Tuần Toán + Tiếng Việt 1 (Biên Soạn Theo Chương Trình GDPT Mới) Bộ sách gồm có: - - Cuối tuần không chỉ để nghỉ ngơi mà
Sách - Academy Stars 1 Pupil’s Book + Workbook - Sách học tiếng Anh cho trẻ chuẩn Cambridge Academy Stars là bộ giáo trình tiếng Anh dành cho học sinh từ 5-13 tuổi, do Nhà
Đổi mới kiểm tra, đánh giá kết quả học tập của học sinh là một trong những nhiệm vụ trọng tâm trong các nhà trường nhằm thúc đẩy việc đổi mới phương pháp dạy, góp
THÔNG TIN CHI TIẾT - Công ty phát hành: QBooks - Tác giả: Nhiều tác giả - Xuất Bản Năm: 2020 - Kích thước khổ sách 19 x 26,5 cm - Loại: Bìa mềm -
Giới thiệu cuốn sách 50 đề tăng điểm nhanh Toán lớp 5 Với mong muốn giúp các em học sinh lớp 5 nâng cao kỹ năng giải toán, tự tin trong các kỳ thi và
Combo Hướng Dẫn Học Tốt Toán Lớp 4 Tập 1 + 2 (Bám Sát SGK Cánh Diều) (Bộ 2 Cuốn) 1. Hướng Dẫn Học Tốt Toán Lớp 4 Tập 1 (Bám Sát SGK Cánh Diều)
Giới thiệu cuốn sách 50 đề tăng điểm nhanh Toán lớp 5 Với mong muốn giúp các em học sinh lớp 5 nâng cao kỹ năng giải toán, tự tin trong các kỳ thi và
--------------Giới thiệu sách--------------- "BÀI TẬP TIẾNG ANH LỚP 5” với các dạng bài tập phong phú, da dang, bám sát ngữ pháp và từ vựng theo chủ đề từng đơn vị bài tập. Mỗi
Nhằm giúp quý thầy, cô, phụ huynh và các em học sinh có thêm tư liệu hướng dẫn con em và để các em học sinh học tốt môn Toán lớp 7 theo chương trình
THÔNG TIN CHI TIẾT - Công ty phát hành: QBooks - Tác giả: Nhiều tác giả - Xuất Bản Năm: 2020 - Kích thước khổ sách 19 x 26,5 cm - Loại: Bìa mềm -
Sách Toán 5 (Dành cho buổi học thứ hai) được biên soạn bám sát sách giáo khoa Toán 5 của Nhà xuất bản Giáo dục Việt Nam. Sách được biên soạn theo từng tuần, mỗi tuần
MÔ TẢ SẢN PHẨM THông tin chi tiết 1 - Toán 2 tập 1 THông tin chi tiết Công ty Phát hành : NXB Giáo dục Tác giả : Nhiều tác giả Số trang
Bài Giảng Và Hướng Dẫn Học Toán Lớp 4 - Tập 1 (Dùng Kèm SGK Kết Nối Tri Thức Với Cuộc Sống) Từ năm học 2023 – 2024, các em học sinh lớp 4
Sách - (Combo 4 cuốn) Toán 3 + Tiếng Việt 3 - Dành Cho Buổi Học Thứ Hai (Kết Nối) Sách - (Combo 4 cuốn) Toán 3 + Tiếng Việt 3 (Dành cho buổi học
MÔ TẢ SẢN PHẨM THông tin chi tiết 1 - Toán 2 tập 1 THông tin chi tiết Công ty Phát hành : NXB Giáo dục Tác giả : Nhiều tác giả Số trang
THÔNG TIN CHI TIẾT Sách - (Combo 4 cuốn) Toán 2 + Tiếng Việt 2 (Dành cho buổi học thứ hai) - Kết nối tri thức với cuộc sống Tác giả: Nhiều tác giả
👁️ 232 | ⌚2025-10-07 20:40:47.994
Số chẵn, số lẻ và biểu thức chứa chữ | Bài tập tuần | Toán lớp 4 | Kết nối | Tuần 2
Ôn tập các số và phép tính trong phạm vi 100000 | Bài tập tuần | Toán lớp 4 | Kết nối | Tuần 1
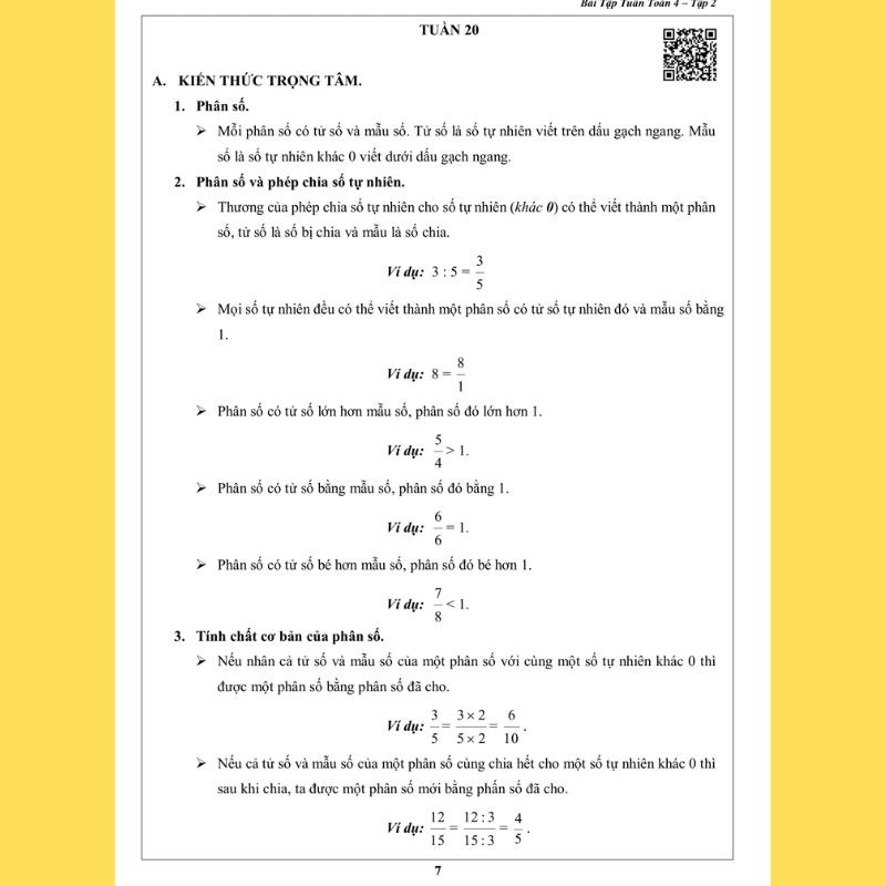
Tuần 20 - Nhân, chia với 10, 100, 1000,... | Bài tập tuần | Toán lớp 4 | Kết nối
Tuần 19 - Nhân, chia cho số có một chữ số | Bài tập tuần | Toán lớp 4 | Kết nối
Danh từ chung và danh từ riêng | Tuần 2 | Bài tập tuần | Tiếng Việt lớp 4 | Tập 1 | Kết Nối
Tìm hiểu về đoạn văn và câu nêu chủ đề | Tuần 1 | Bài tập tuần | Tiếng Việt lớp 4 | Tập 1 | Kết Nối

Số chẵn, số lẻ và biểu thức chứa chữ | Bài tập tuần | Toán lớp 4 | Kết nối | Tuần 2
Ôn tập các số và phép tính trong phạm vi 100000 | Bài tập tuần | Toán lớp 4 | Kết nối | Tuần 1
Tuần 20 - Nhân, chia với 10, 100, 1000,... | Bài tập tuần | Toán lớp 4 | Kết nối
Tuần 19 - Nhân, chia cho số có một chữ số | Bài tập tuần | Toán lớp 4 | Kết nối
Danh từ chung và danh từ riêng | Tuần 2 | Bài tập tuần | Tiếng Việt lớp 4 | Tập 1 | Kết Nối
Tìm hiểu về đoạn văn và câu nêu chủ đề | Tuần 1 | Bài tập tuần | Tiếng Việt lớp 4 | Tập 1 | Kết Nối

+ CHI TIẾT - 100% da bò tự nhiên - Chất liệu: Da bò Pebbled mềm mại - Màu da: Vàng cam - Kiểu dáng: Đứng – Gập 2 - Khóa kéo: Không - Kích
4P's có nghĩa "For Peace" - cho Hòa Bình tràn ngập trên toàn thế giới. Tham vọng ở Pizza 4P's không chỉ đơn giản là "Một nhà hàng Pizza tuyệt vời" mà chúng tôi có
Le Monde Steak là hệ thống Bít Tết theo phong cách thành thị Pháp đầu tiên tại Việt Nam, nơi thực khách tự do trải nghiệm những món ăn mang hương vị Pháp đầy lôi
Sôi nổi, phóng khoáng, vui nhộn chính là tinh thần mà Yakimono – Quán thịt nướng Nhật Bản muốn mang đến cho bạn. Trái ngược với khung cảnh yên bình bên ngoài, chỉ cần đẩy
Hoa Yêu Thương là bông hoa được ghép từ nhiều trái tim với mong muốn kêu gọi mọi người hãy chia sẻ yêu thương nhiều hơn. Cuộc sống sẽ tốt hơn rất nhiều nếu chúng
Gyu-Kaku nhập thịt tươi và cắt từng lát một tại nhà hàng để đảm bảo độ tươi ngon. Nước tương và miso truyền thống Nhật Bản chúng tôi dùng cho sốt và ướp thịt kĩ
Hạn sử dụng: 2025-12-31 00:00:00 Potico là điện hoa chuyên cung cấp bó hoa yêu thương và quà tặng ý nghĩa hàng đầu tại Việt Nam. Potico luôn miễn phí giao hàng trong khu vực
Nếu bạn là người Hàn Quốc sinh sống hoặc làm việc xa nhà, bạn nên ghé qua Butoomac để cảm nhận hương vị quê hương. Đây là những nhà hàng rất nổi tiếng ở Hà
Ra mắt thương hiệu tại Hà Nội với cơ sở đầu tiên Hàng Bông vào năm 2016, hiện nay, Don Chicken đã có 14 cửa hàng tại Hà Nội, Quảng Ninh, Bắc Ninh, Thanh Hóa
MIYEN - Nét chấm phá Nhật Bản tinh tế đầy duy mỹ. Miyen Japanese Fusion Cuisine mong muốn đem đến cho Quý Thực khách trải nghiệm bầu không khí giao thời của một đất nước
Với phương châm: “Nơi ẩm thực Hồng Kông được tôn vinh và chăm chút. Chúng tôi mang đến quý khách sự trải nghiệm tuyệt đối từ vị giác đến văn hóa ẩm thực”. Baoz Dimsum
A Mà Kitchen - Stay Vietnam, Taste HongKong Trở về Hồng Kông 40 năm trước, A Mà - Bà Nội của một gia đình Trung Hoa là người luôn tận tụy chăm lo từng bữa
Thương hiệu bánh donut thơm ngon, và những ly cà phê đậm đà, mang đến không gian thân thiện để kết nối mọi người. CRISPY DONUTS luôn cập nhật hương vị mới, đảm bảo mỗi
Đến Hệ thống tiNiWorld, các bậc phụ huynh hoàn toàn có thể yên tâm vì con yêu của mình được bảo vệ an toàn nhất. Tất cả các thiết bị đồ chơi tại đây đều
BORNGA VIỆT NAM: Là chi nhánh thuộc thương hiệu và chuỗi hệ thống nhà hàng nổi tiếng toàn cầu Bornga, Bornga Việt Nam hân hạnh phục vụ những món ăn mang đậm nét truyền thống
Otoké Chicken tự hào là thương hiệu gà rán của Việt Nam - được đầu tư và quản lý bởi Quỹ đầu tư VI (VIGroup) – một công ty quản lý quỹ chuyên nghiệp, chuyên
Với sự ra đời của cửa hàng đầu tiên tại Việt Nam vào năm 2007, chuỗi cửa hàng TOUS les JOURS khẳng định vị trí dẫn đầu trong phân khúc cao cấp bánh và cà
Bạn đang lên kế hoạch cho một bữa tiệc ấm cúng, một buổi hẹn hò hay một buổi liên hoan cuối năm? Đừng bỏ lỡ voucher tiền mặt từ Ssamjang - Nướng & Cuốn Chợ
Shang Chi - Taiwanese Rotary Hotpot là con tàu trải nghiệm và khám phá thiên đường lẩu Đài Loan đầy màu sắc và đa dạng. Shang Chi cũng là sự giao thoa giữa yếu tố
Không gian rộng rãi và sạch sẽ, nhân viên thân thiện, nhiệt tình chắc chắn là điểm đến lý tưởng cho một cuộc hẹn tại Spicy Box. Đến với Spicy Box bạn sẽ được hóa